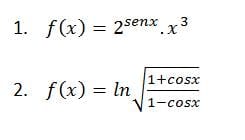
En los siguientes ejercicios encontrar la derivada
Tengo dudas para derivar los estos ejercicios, le agradecería si me pueden ayudar a solucionarlos

1 respuesta
Respuesta de Jorge Herrera
-1