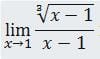
Hallar el limite de ∛(x-1)/(x-1) cuando x es igual a 1

Obtener el limite ...
1 respuesta
Respuesta de Valero Angel Serrano Mercadal
1

Obtener el limite ...
Maestro VALERO estoy con UD, que se habrá creído ese Señor Herrera, no ha resuelto ningún ejercicio e inclusive tiene más puntos que yo. - Luis Alberto Candio Salcedo
Es increíble la caradura que tiene. Yo creo que se le podría denunciar, no creo que en TodoExpertos quieran tener gente como esa. Nadie da licencia para ser experto pero algo debería saber o poner interés por lo menos. - Valero Angel Serrano Mercadal
Maestro VALERO, a ese señor lo deben EXPULSAR. No se puede pedir a los señores que administran la página que lo saquen o en todo caso llamarle la atención y que no vuelva hacer lo que esta haciendo. - Luis Alberto Candio Salcedo
Yo creo que sí, que le podrían dar un toque, esto es lo que dice la ayuda ¿Puedo ser experto y responder en cualquier tema en Todoexpertos? y este personaje no ha demostrado ningún conocimiento. Ahora le haría yo un examen con las transformadas de Laplace que se supone domina, incluso le dejaría que usara sus propios apuntes. - Valero Angel Serrano Mercadal