Lucas m

Lucas m

No es el conocimiento, sino el acto de aprendizaje, y no la posesión, sino el acto de llegar allí, que concede el mayor disfrute.
 1.090K puntos  España @mmestre1111 desde - visto

Respuestas

Respuesta en a

Escribir el número que representa:dos unidades del primer orden en el sistema binario

;) Hola Adolfo! El 2 en sistema binario se escribe : 10
Respuesta en a

Busco un programa o página que me dibuje gráficos en r3.

;) GeoGebra Se puede descargar u online Geogebra.com

Sea ABCD un cuadrado calcular el valor de x

;) Por Pitágoras, si c es el lado del cuadrado: c^2+c^2=x^2 2c^2=x^2 c^2=x^2/2 Cómo c^2 es el área del cuadrado==> (x+12)=x^2/2 2x+24=x^2 x^2-2x-24=0 Resolviendo la ecuación de segundo grado da la solución positiva x=6 Saludos y recuerda votar ||*|| ;)
Respuesta en y en 1 temas más a

Quiero saber si está bien planteado está ecuación exponencial

;) Hola Camila! Evidentemente está mal, el 131 es el nombre del elemento (iodo 131) La vida media sirve para calcular la constante B. Cuando pasen 8 días quedará la mitad de la masa inicial: Q=A/2 A/2=A•B^8 Simplificando 1/2=B^8 0.5=B^8 B=[8]√0.5...

Como obtener el ultimo numero ente 2

;) Si la división ha de ser exacta, el primer número entre dos es el 2, de cociente la mitad. Si por último se entiende el más grande, será el mismo número y el cociente será 1 Saludos y recuerda votar No es muy clara la pregunta ;) ||*||
Respuesta en y en 2 temas más a

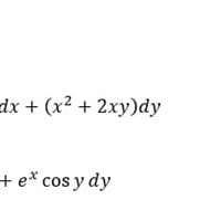
Representación paramétrica de las siguientes integrales

1) Depende si F es conservativo o no 2/ f=(P,Q)=(y^2+2xy, x^2+2xy) D_1f_2=D_x Q=2x+2y D_2 f_1=D_y P=2y+2x Es conservativo luego no depende del camino 3) D_x Q=e^x cos y D_y P=e^x cosy luego es conservativo y no depende de la travectoria 2) Puedes...
Respuesta en y en 2 temas más a

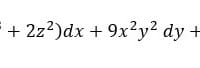
Demuestre que la integral de línea es independiente de la trayectoria

;) Hola Yani! Eso ocurre (es independiente del camino)cuando el campo es conservativo, Un campo vectorial f=(P, Q, R)es conservativo si las derivadas cruzadas son iguales: D_i f_j=D_j f_i f=(P,Q,R)=(6xy^3+2z^2, 9x^2y^2, 4xz+1) i=1, j=2==>...
Respuesta en y en 1 temas más a

¿Porque la fórmula del coseno se resta -2bc.cosA (quisiera saber el porque se resta y no se divide por ejemplo)?

;) Aquí tienes la demostración https://youtu.be/DpDtoxgbBXw
Respuesta en a

Tengo dudas sobre una división

;) Hola Jorge! De cociente da 1, y de resto 1. Si quieres la solución decimal, es 1.08(3) Periodo 3 1.08333333333333333333333 ... Hasta el infinito y más allá ||*||

Suscríbete RSS