Michael Morales Arias

Michael Morales Arias

 Costa Rica @michaelmoralesarias desde - visto
Preguntar

Actividad pública reciente

Ha preguntado en el tema en y en 1 temas más

Como hacer esta demostración matemática

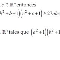
Buenas alguien me ayudaría para demostrar este ejercicio matemático
Ha valorado "Excelente" la respuesta

Duda con este ejercicio sobre demostración matemática

respondió: · · ¡Hola Michael! No sé se te refieres a que puestas una sobre otra al numerador va el producto de los extremos y al denominador el producto de los medios Y eso es todo, saludos. : :
Ha preguntado en el tema en

Duda con este ejercicio sobre cambio de variable

Buenas quisiera saber como hacer el cambio de variable de este ejercicio y como sacar el valor de rho c (la constante), lo de mínimos cuadrados si lo sé hacer...
Sin respuestas
Ha preguntado en el tema en

Como hacer las siguientes demostraciones

Alguien de matemática que me diga como podría demostrar los siguientes ejercicios
Ha valorado "Excelente" la respuesta

Buenas alguien de matemática que me ayude con estos ejercicios porque no se me ocurre nada:

respondió: No se si es la forma correcta de expresarlo, pero intentemos hacer algo, y tal vez encuentres algo útil para tu demostración 1) Si 2 divide a x+y, entonces x, y tienen la misma paridad (o sea que son ambos pares o ambos impares) Lo otro que debés...

Educación

  • Instituto Tecnológico de Costa Rica