Como hacer las siguientes demostraciones

Alguien de matemática que me diga como podría demostrar los siguientes ejercicios

1 Respuesta

Respuesta
1

·

·

¡Hola Michael!

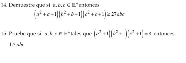
14)

Podemos poner 27abc como 3a·3b·3c

Veamos que cada uno de los factores es mayor o igual que su respectivo 3a, 3b o 3c

a^2+a+1-3a = a^2 - 2a +1 = (a-1)^2 >=0

a^2+a+1-3a >= 0

a^2 + a +1 >= 3a

y analogamente

b^2 + b + 1 >= 3b

c^2 + c +1 >= 3c

Ademas los lados izquierdos son siempre positivos porque si intentas resolver la ecuación a^2+a+1=0 no tiene raíces reales.

Si multiplicamos los lados mayores y positivos dará siempre un número positivo mayor que la multiplicación de los menores lo mismo da que estos sean positivos o negativos

(a^2 + a +1)(b^2 + b + 1)(c^2 + c +1) >= 3a·3b·3c = 27abc

·

15)

Veamos cuál es el máximo de la función

$$\begin{align}&f(a,b,c)= abc\\&\\&\text{ligado a la función}\\&\\&g(a,b,c)=(a^2+1)(b^2+1)(c^2+1)-8=0\\&\\&\text{Usaremos un multiplicador de Lagrange } \lambda\\&\text{debe cumplirse que las derivadas parciales}\\&\\&f_a+\lambda·g_a =0\\&f_b+\lambda·g_b =0\\&f_c+\lambda·g_c =0\\&\\&bc+\lambda·2a(b^2+1)(c^2+1)=0\\&ac+\lambda·2b(a^2+1)(c^2+1)=0\\&ab +\lambda·2c(a^2+1)(b^2+1)=0\\&\\&\text{Despejo }\lambda \text{ en la primera}\\&\lambda=-\frac {bc}{2a(b^2+1)(c^2+1)}\\&\\&\text{y lo sustituyo en la segunda}\\&\\&ac-\frac{b^2c(a^2+1)}{a(b^2+1)}= 0\\&\\&\frac{a^2c(b^2+1)-b^2c(a^2+1)}{a(b^2+1)}=0\\&\\&a^2c-b^2c=0\\&\\&c(a^2-b^2)=0\\&\\&\text{Si c=0}\implies abc=0\implies\text{ no es máximo}\\&\\&a^2=b^2\\&\\&\text{sustituyendo }\lambda\text{ en la tercera}\\&\\&ab -\frac {bc^2(a^2+1)}{a(c^2+1)}=0\\&\\&\frac{a^2bc^2+a^2b-a^2bc^2-bc^2}{a(c^2+1)}=0\\&\\&a^2b-bc^2=0\\&\\&b(a^2-c^2) = 0\\&\\&\text{Si b=0}\implies abc=0 \implies \text{no es máximo}\\&\\&a^2=c^2\\&\\&\text{luego }a^2=b^2=c^2\\&\\&\text{que yo sabía que iba a pasar, pero ha habido}\\&\text{que hacer todas estas cuentas}\\&\\&\text{vamos ahora a g sustiyendo esto}\\&\\&(a^2+1)(a^2+1)(a^2+1)-8=0\\&\\&(a^2+1)^3=8\\&\\&a^2+1=2\\&\\&a^2=1\\&\\&a=b=c=\pm1\\&\\&\text{Y esto es un máximo ya que tomando}\\&a=b=0; c=\sqrt 7\\&\text{se cumple g tenemos } abc=0\\&\\&\text{Luego el máximo se da para}\\&a=1,b=1, c=1\\&a=1, b=-1,c=-1\\&a=-1, b=1,c=-1\\&a=-1,b=-1,c=1\\&\\&\text {y es abc=1}\\&\\&\text{por lo tanto para todo a,b,c se cumple }abc\le1\\&\\&\end{align}$$

:

:

Añade tu respuesta

Haz clic para o

Más respuestas relacionadas