Marcela Mat

Marcela Mat

 Colombia @marcelamat desde - visto
Preguntar

Preguntas

Pregunta en y en 1 temas más

¿Resolver las siguientes integrales enunciando claramente la técnica o propiedad usada?

Existen otros métodos para resolver integrales como integración por partes, integración por fracciones parciales, también métodos para resolver integrales de funciones exponenciales, logarítmicas, trigonométricas e hiperbólicas.
Pregunta en y en 2 temas más

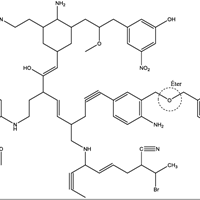
¿Identificar los grupos funcionales de la imagen?

De acuerdo con el siguiente compuesto complejo;, los selecciona con un círculo y ubica el nombre al lado (Alqueno, alquino, benceno sustituido, alcohol, fenol, éter, amina, nitrilo, nitro), como se observa en el ejemplo.
Sin respuestas
Pregunta en y en 2 temas más

¿Terminar la siguiente ecuación de química orgánica?

Responder cada producto como se muestra en la gráfica, producto por producto.
Pregunta en y en 2 temas más

Integral impropia si diverge o converge

Evaluar la siguiente integral impropia si convergen o divergen

Suscríbete RSS