Marcela Mat

Marcela Mat

 Colombia @marcelamat desde - visto
Preguntar

Preguntas

Pregunta en y en 2 temas más

¿Cual es la estructura del producto de la siguiente reacción?

Escriba la estructura del producto de la siguiente reacción:
Sin respuestas
Pregunta en y en 2 temas más

¿Cómo resolver un ejercicio de física con integrales?

Un resorte es tal que la fuerza requerida para mantenerlo estirado s centímetros está dado por la siguiente expresión F=12s . Si la longitud del resorte es de treinta (30) centímetros y se estira hasta cuarenta y cinco (45) centímetros, ¿Cuál sería...
Pregunta en y en 1 temas más

¿Calcular el área bajo la curva entre las funciones?

El área bajo la curva entre las funciones f(x)=−x2+2x+4 y g(x)=x2 , para el intervalo [−1, 1.5] , en unidades cuadradas es:
Pregunta en y en 2 temas más

¿Calcular el valor del área de la región limitada?

Calcular el valor del área de la región limitada por: y=x+4 , y=x2−2 . El área se expresa en unidades cuadradas
Pregunta en y en 2 temas más

¿Hallar el área acotada por la curva ?

Hallar el área acotada por la curva g(x)=2x3 en el intervalo [1, 3]. Calculo integral
Sin respuestas
Pregunta en y en 2 temas más

¿Aplicación de las integradas en física?

Una pelota de tenis se lanza verticalmente hacia abajo desde una altura de 54 pies con una velocidad inicial de 8 pies/seg. ¿Cuál es la velocidad de impacto si la pelota golpea en la cabeza a una persona de 6 pies de estatura? Considerar: ?(?) =...
Pregunta en y en 1 temas más

¿Como hallar el volumen con una intregada?

Encontrar el volumen del sólido formado al girar la región acotada por f(x) = 2- x^2 , y g(x) =1 alrededor de la recta . Y=1 Sugerencia: Utilice el método de los discos para hallar el volumen del sólido y elabore la gráfica para una mejor comprensión...
Pregunta en y en 3 temas más

¿Cómo expresar áreas en unidades de superficie?

Encuentre el área de la región comprendida entre la curva f (x)= x3- x2- 6x y el Eje X. El área se expresa en unidades de superficie.
Pregunta en y en 2 temas más

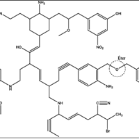
¿De acuerdo con el siguiente compuesto complejo en química orgánica definir?

De acuerdo con el siguiente compuesto complejo seleccionar con un círculo y ubica el nombre al lado (Alqueno, alquino, benceno sustituido, alcohol, fenol, éter, amina, nitrilo, nitro), como se observa en el ejemplo.
Pregunta en y en 3 temas más

¿Como usar las leyes de kirchoff en este ejercicio?

Utilizando las leyes de Kirchoff, calcule el valor de las corrientes y voltajes en cada resistencia del siguiente circuito

Suscríbete RSS