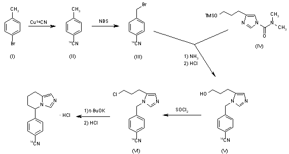
¿Terminar la siguiente ecuación de química orgánica?
Responder cada producto como se muestra en la gráfica, producto por producto.
1 respuesta
Respuesta de Albert Nuñez
1



