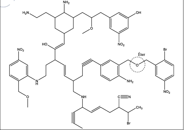
¿Identificar los grupos funcionales de la imagen?
De acuerdo con el siguiente compuesto complejo;, los selecciona con un círculo y ubica el nombre al lado
(Alqueno, alquino, benceno sustituido, alcohol, fenol, éter, amina,
nitrilo, nitro), como se observa en el ejemplo.
