Respuesta
en
Matemáticas
a
14- Tengo un ejercicio catorce análisis matemático
Respuesta
en
Matemáticas
a
9 - Tengo un problema nuevo análisis matemtico
Respuesta
en
Matemáticas
a
8 - Tengo un problema análisis matemático
Respuesta
en
Matemáticas
a
7- Tengo un problema siete Analasis Matemático
Respuesta
en
Matemáticas
a
6- Tengo un problema seis Análisis Matemático
Respuesta
en
Matemáticas
a
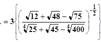
3 - Tengo un problema tres matemtica
Respuesta
en
Matemáticas
a
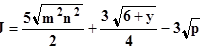
4- Tengo un problema cuatro matemática
Respuesta
en
Matemáticas
a
5-Tengo un problema cinco análisis Matemática?
Respuesta
en
Matemáticas
y en 2 temas más
a
