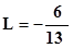
3 - Tengo un problema tres matemtica

Necesito ayuda con esta operación.
Tres Tres Tres Tres Tres Tres Tres Tres Tres Tres
1 Respuesta
Respuesta de Luis Alberto Candio Salcedo
1




