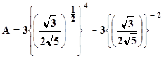
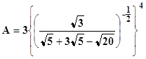
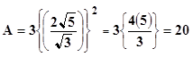
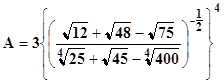
9 - Tengo un problema nuevo análisis matemtico

Necesito ayuda con este problema.
1 Respuesta
Respuesta de Luis Alberto Candio Salcedo
1

Necesito ayuda con este problema.