José Torres

José Torres

El conocimiento te hace mejor persona, siempre y cuando no presumas del mismo.
 Venezuela @josetorres11 desde - visto
Preguntar

Preguntas

Pregunta en y en 2 temas más

¿Cual es la solución al siguiente circuito?

El ejercicio está al final de la imagen. Lo anterior es la forma de resolución que necesito.
Sin respuestas
Pregunta en y en 2 temas más

Para el siguiente circuito, aplicar los pasos que se muestran en la imagen de apoyo.

Necesito ayuda con este ejercicio. No entiendo mucho de circuitos... El ejercicio como tal está en la parte inferior de la imagen, lo de arriba es el modelo de resolución.
Sin respuestas
Pregunta en y en 3 temas más

¿Cómo resuelvo este ejercicio de teoría de colas?

Simule el siguiente problema en el lenguaje de Excel Llegan clientes en forma aleatoria a una oficina postal con tres empleados. El tiempo entre llegadas es en promedio 5 minutos. El tiempo de servicio es en promedio 10 minutos. Todos los clientes...
Pregunta en y en 2 temas más

¿Cual es la solución a la integral numérica...?

Hallar la siguiente integral por métodos numéricos aplicando las Fórmulas abiertas y cerradas de Newton.
Pregunta en y en 3 temas más

¿Como se programa en pgsql el siguiente problema?

1- Construir una base de datos para el Control de un Servicio Técnico de Computación. 2- Hacer un informe en PDF donde se destaque lo siguiente: - Creación de las Tablas - Introducción de los datos para cada tabla - Modelo Entidad Relación - La base...
Sin respuestas
Pregunta en y en 1 temas más

¿Cual es la cuadratura de Gauss de esta integral?

Hallar la siguiente integral por métodos numéricos aplicando las Fórmulas abiertas y cerradas de Newton.
Pregunta en y en 2 temas más

¿Cuál es la aplicación de función exponencial?

La cantidad Q(t) de un material radioactivo pues "T" año están dado por -0.004t Q(t) = ae Después de 2000 años quedan 300 gramos a) ¿Cuántos gramos habría individualmente? B) Graficar
Pregunta en y en 3 temas más

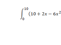
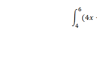
¿Cómo se resuelve esta integral?

Por fa necesito la explicación, me falta algo de práctica al integrar y no hallo qué hacer con esta :/
Pregunta en y en 2 temas más

Cuál es la configuración de diodos en serie y serie-paralelo. Necesito algo teórico.

Sólo necesito la teoría de estas dos configuraciones...