Jose Otero

Jose Otero

aqui pasando el tiempo
 México @joseotero2 desde - visto
Preguntar

Preguntas

Pregunta en

Demuestra que cualquier grafo con cuatro vértices o menos es simple plano

Espero me puedan ayudar con este problema de matemáticas discretas. Demuestra que cualquier grafo con cuatro vértices o menos es simple plano Saludos!
Pregunta en y en 1 temas más

Calcular el área limitada por y= x^2 y por y=-2x

Y para terminar con este repaso, Este calculo de área. Calcular el área limitada por y=x^2 y por y =-2x , acotada por las rectas verticales x=-0.5 y x=-2 tal y como se muestra en la siguiente imagen: Saludos y gracias a todos.
Pregunta en y en 1 temas más

Calcula la siguiente integral por la regla de función simétrica

Aquí otra parte de mi repaso. Calcula la siguiente integral por la regla de función simétrica Calcular el siguiente ejercicio por medio de integración por partes.
Pregunta en y en 1 temas más

Repaso, Utilizando la PRIMERA parte del Teorema fundamental del cálculo

Estoy haciendo un repaso de todo lo que e visto de calculo integral y tengo 5 problemas de cada tipo. Espero me puedan ayudar con uno de cada uno para poder comparar y ver si estoy en lo correcto. Utilizando la PRIMERA parte del Teorema fundamental...
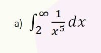
Pregunta en y en 1 temas más

Calcular la siguiente integral impropia

Aquí otra integral impropia. Calcular la siguiente integral impropia:
Pregunta en y en 1 temas más

Calcular la siguiente integral por medio de integración por partes

Dando lata con una integral más. Calcular la siguiente integral por medio de integración por partes:
Pregunta en y en 1 temas más

Calcular la siguiente integral por medio de sustitución trigonométrica

Espero me puedan ayudar con esta integral. Calcular la siguiente integral por medio de sustitución trigonométrica:
Pregunta en y en 1 temas más

Segunda parte de las integrales impropias.

Para cumplir con las reglas, subo la segunda integral impropia en otra pregunta. Calcular las siguientes integrales impropias:
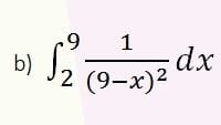
Pregunta en y en 1 temas más

Calcular las siguientes integrales impropias

Aquí pidiendo apoyo para la resolución de estas integrales. Calcular las siguientes integrales impropias:
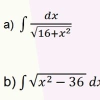
Pregunta en y en 1 temas más

Calcular las siguientes integrales mediante sustitución trigonométrica

Pido de su apoyo para resolver estas 2 integrales. Calcular las siguientes integrales mediante sustitución trigonométrica: