Calcular las siguientes integrales mediante sustitución trigonométrica

Pido de su apoyo para resolver estas 2 integrales.

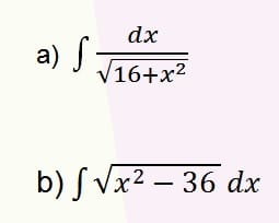
Calcular las siguientes integrales mediante sustitución trigonométrica:

1 respuesta

Respuesta
1

·

·

¡Hola José!

Cuando digas cambio trigonométrico un solo ejercicio por pregunta. Hay alguna que es fácil, pero otras son dificilísimas.

a)

Piensa en la función trigonométrica f tal que 1 + f^2 sea un cuadrado, porque esa raíz cuadrada hay que eliminarla. Existe ya que

$$\begin{align}&1+tg^2x = sec^2x\\&\text{Y ahora hay que hacer el cambio apropiado que es}\\&\sqrt{m^2+n^2x}\implies x=\frac mn·tg\,t\\&\\&\int \frac{dx}{\sqrt{16+x^2}}=\\&\\&x= 4\,tg\,t\\&dx= 4sec^2t\;dt\\&\\&\int \frac{4 \,sec^2\,t}{\sqrt{16+16 tg^2t}}dt=\\&\\&\int \frac{4 \,sec^2\,t}{4 \sqrt{1+tg^2t}}dt=\\&\\&\\&\int \frac{sec^2\,t}{sect}dt=\int sec\,t\;dt\end{align}$$

Y lo que te decía, si esta integral la tienes en tu tabla de integrales inmediatas es coser y cantar, pero si no la tienes es una integral muy difícil.

Se necesita el cambio trigonométrico universal que deja todo en función de los ángulos mitad y luego es complicado transformar eso en ángulos normales.

El cambio trigonométrico universal tiene su teoría que yo no voy a explicar aquí, simplemente usaré los resultados de ella.

$$\begin{align}&\int \frac{dt}{cost}=\\&\\&tg \frac t2=u\\&\\&\text{las dos fórmulas de abajo se pueden}\\&\text{deducir pero las copio de un libro}\\&\\&cost=\frac{1-u^2}{1+u^2}\\&\\&dt = \frac {2du}{1+u^2}\\&\\&=\int \frac{1+u^2}{1-u^2}·\frac {2du}{1+u^2}=\int \frac{2du}{1-u^2}=\\&\\&\int \frac{2du}{(1+u)(1-u)}=\int \frac{du}{1+u}+\int \frac{du}{1-u} =\\&\\&ln|1+u| - ln|1-u| =\\&\\&ln\left|1+tg \frac t2\right|-ln\left|1-tg \frac t2\right|=\\&\\&ln\left|\frac{1+tg \frac t2}{1-tg \frac t2}  \right|=ln \left|\frac{\left(1+tg \frac t2\right)^2}{1-tg^2 \frac t2}\right|=\\&\\&ln\left|\frac{\frac{(\cos \frac t2+sen \frac t2)^2}{\cos^2 \frac t2}}{\frac{\cos^2 \frac t2-sen^2 \frac t2}{\cos^2 \frac t2}}  \right|=ln\left|\frac{1+2cos \frac t2sen \frac t2}{cost}\right|=\\&\\&ln\left|\frac{1+sent}{cost}  \right|=ln\left|sec\,t+tg\,t  \right|+C\\&\\&\text{Y aun no hemos terminado}\\&\\&x=4\,tg\,t\implies t=arctg \frac x4\\&\\&sec\left(arctg \frac x4\right)= sec\left(arccos \frac{4}{\sqrt{16+x^2}}  \right)=\\&\\&sec\left(arcsec \frac{\sqrt{16+x^2}}{4}  \right)=\frac{\sqrt{16+x^2}}{4}\\&\\&tg\left(arctg \frac x4\right)=\frac x4\\&\\&\text{Luego la integral es}\\&\\&I=ln\left( \frac x4+\frac{\sqrt{16+x^2}}{4} \right)+C=\\&\\&ln\left( x+\sqrt{16+x^2}\right)-ln\,4+C=\\&\\&\text{Y con una constante es suficiente}\\&\\&= ln\left( x+\sqrt{16+x^2}\right)+C\\&\end{align}$$

:

:

¡Gracias!

Voy a intentar resolver por mi mismo la opción b y si me atoro ya te volveré a pedir ayuda.

Muchas gracias por todo lo que haces por los que estudiamos estas materias.

Añade tu respuesta

Haz clic para o

Más respuestas relacionadas