Calcula la siguiente integral por la regla de función simétrica
Aquí otra parte de mi repaso.
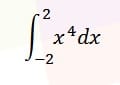
Calcula la siguiente integral por la regla de función simétrica

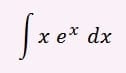
Calcular el siguiente ejercicio por medio de integración por partes.

2 Respuestas
Respuesta de Valero Angel Serrano Mercadal
1
Respuesta de Lucas m
1