Jose Espinoza

Jose Espinoza

 Perú @joseespinoza2 desde - visto
Preguntar

Preguntas

Pregunta en y en 4 temas más

Quisiera saber a que mal pertenece la siguiente sintomatología

Soy mujer tengo 21 años tengo la siguiente sintomatogia desde hace 2 semanas y no sé que pueda tener, o si recurrir a emergencias, debido a la situación actual quisiera descartar por este medio algún padecimiento. Agradezco mucho sus respuestas...
Pregunta en y en 4 temas más

Duda sobre la presión presión intraocular alta

Tengo miopia 2.00 moderada .Hace unos días el oftalmólogo me dijo que tenia presión ocular alta tenia 22mmHg, en el ojo izquierdo y 18 mmHg en el ojo derecho. Es necesario modificar algunos hábitos o dietas alimenticias para disminuir dicha presion...
Pregunta en y en 4 temas más

Para que se usa el Bisacodilo de 10 mg

¿El Bisacodilo de 10mg se aplica con un fin antiparasitario ó purgante?, tengo entendido que es un laxante, ¿Pero quisiera saber si sirve también para la eliminación de parásitos intestinales?, ¿Y una pregunta más este fármaco produce diarrea con...
Pregunta en y en 4 temas más

Duda sobre libro finanzas corporativas

¿Quisiera saber si hay un solucionario a los ejercicios del libro finanzas corporativa? De Stephen A. Ross 9na edicion agradezco que me ayuden a encontrar como encontrar esto
Sin respuestas
Pregunta en

Dolor en la muela de juicio

Hace un par de días me ha empezado a doler el segundo molar del lado izquierdo, quisiera saber si es porque me esta saliendo el diente de juicio de ese lado, ya que ambos empezaron al mismo tiempo, es normal mi situación o es necesario acudir a un...
Pregunta en y en 3 temas más

Como hacer estos estados financieros con estos datos

Tengo estos datos para elaborar un Balance general, un estado de Resultados y un Flujo de efectivo, agradezco la ayuda de al menos con uno de estos estados financieros, gracias La empresa ABC dispone a final del año 2004 de la siguiente información...
Sin respuestas
Pregunta en y en 2 temas más

Tengo una duda sobre administración financiera

¿Qué es un movimiento de fondos como requerimiento de financiamiento?"
Pregunta en y en 2 temas más

Tengo una duda sobre finanzas

Juan acaba de conseguir su primer trabajo con un sueldo promedio de 3,500 unidades monetarias. Si Juan desea adquirir un automóvil cuyo valor es de 32,000 unidades monetarias, cuanto tendrá que depositar de manera mensual a una IFI con la finalidad...
Pregunta en y en 1 temas más

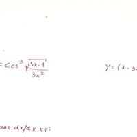
Hallar Determinante en el problema

Es un problema matemático sobre Determinantes donde pide hallar dy/dx
Pregunta en y en 2 temas más

Un problema matemático de demanda y venta

Un comerciante puede vender 1200 artefactos al mes cuando el precio es de $500, si el precio aumenta $60 las ventas disminuyen en 200 artefactos mensual. Si el costo fijo mensual es de $52 000 y el costo unitario de producción es de $380. Determinar...
Sin respuestas