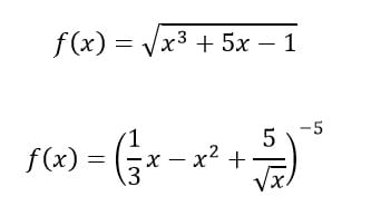
Cálculo José Alirio... el 24 mar. 17 Resolver con regla de la cadena Necesito resolver estos 2 ejercicios usando regla de la cadena: Seguir Siguiendo Dejar de seguir