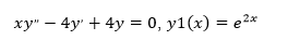
Matemáticas Juan Delgado el 27 feb. 19 Resuelva el siguiente problema de reducción de orden Determine mediante reducción de orden la segunda solución y la solución general: Seguir Siguiendo Dejar de seguir