Jefersson Murillo

Jefersson Murillo

 4.900 puntos  Colombia @jeferssonmurillo desde - visto
Preguntar

Respuestas

Respuesta en a

¿Cómo resolver el siguiente problema matemático?

Primero pase todos los valores a Cm para poder trabajar mejor, por lo cual los valores serian los siguientes: 75 cm = 1 remera P 85 cm = 1 remera M 90 cm = 1 remera G 105 cm = 1 remera XG Ahora el fardo 100m = 10 000 cm Luego realizamos un m.c.m para...
Respuesta en y en 4 temas más a

¿En qué consiste el "Teorema de existencia de solución aproximada" de las ecuaciones diferenciales?

Esto te puede ayudar https://www.youtube.com/watch?v=-21-EtMAGb8

¿Cómo se desarrolla esta integral impropia?

Una integral converge cuando el resultado es un número y diverge cuando da infinito.
Respuesta en y en 1 temas más a

Determinar la integral siguiente si

Bueno espero me entienda y le sirva. /// La integral la voy a denotar con este símbolo $= Integral. Para iniciar tomamos u= x/2 y du= 1/2 dx Nos queda: = 2 $ sin^2 u du = 2 $ sin^2 (x/2) (1/2)dx De acuerdo a la tabla de integrales = 2 ( 1/2(x/2) -...
Respuesta en y en 2 temas más a

Para comprar una bicicleta de s/520 aportan Jose y Carlos, el aporte de Jose es s/80 menos que el de Carlos¿Cuanto aporta c/u?

Lo primero que hacemos es restar los 80 al valor 520 - 80 = 440 Ahora lo dividimos entre dos 440 ÷ 2 = 220 Como carlos aporto 80 mas que jose 220 + 80 = 300 Por tanto el aporte de jose es de 220
Respuesta en a

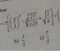
1 Tengo un problema de Análisis matemático

La respuesta es 1/3 A veces molesta para subir la imagen.
Respuesta en a

2 - Tengo un problema dos matematica

La respuesta es la A) 37/10
Respuesta en y en 1 temas más a

Despejar R3 de la siguiente fórmula

R3= - R1 - R2 -I*V