Hector Orobio Valencia

Hector Orobio Valencia

No está muerto quien pelea
 300 puntos  Colombia @hectororobiovalencia desde - visto
Preguntar

Actividad pública reciente

Ha valorado "Buena" la respuesta

¿Qué alumnos aprobaron y cuales reprobaron?

respondió: I. Hola Héctor, perdone, ¿desea realizar esta aplicación bajo un lenguaje o programa concretos?, (por ejemplo C++ o un programa de autor), no soy programador pero he visto una serie de tutoriales en PDF y YouTube que podrían ser de su interés,...
Ha preguntado en el tema en

¿Cuánto durará el matrimonio de una pareja de jóvenes de La Patagonia donde La mitad de la población vive hasta 110 años ?

Una pareja de jóvenes acaba de casarse, ambos tienen 20 años y viven en lo profundo de la Patagonia comiendo pescado crudo, lo que imprime un carácter fuerte: NADIE SE DIVORCIA y todos tienen BUENA SALUD. La mitad de la población de esa región, en...
Sin respuestas
Ha preguntado en el tema en

¿Cuánto durará el matrimonio de una pareja de jóvenes de 20 años y viven en lo profundo de la Patagonia?

Una pareja de jóvenes acaba de casarse, ambos tienen 20 años y viven en lo profundo de la Patagonia comiendo pescado crudo, lo que imprime un carácter fuerte: NADIE SE DIVORCIA y todos tienen BUENA SALUD. La mitad de la población de esa región, en...
Sin respuestas
Ha preguntado en el tema en y en 2 temas más

¿Cuál es el área de la superficie de una pared?

La altura del techo de un edificio está dada por, y una de las paredes sigue una trayectoria representada por . Se pide calcular el área de la superficie de la pared si . (todas las medidas se dan en pies).
Sin respuestas
Ha preguntado en el tema en

Unos rayos por con longitud de onda inicial de 01nm sufren dispersión Compton.

Unos rayos por con longitud de onda inicial de D nm sufren dispersión Compton. ¿Cuál es la máxima longitud de onda que se encuentra en los rayos por dispersados? Exprese el resultado en nm.¿A qué ángulo de dispersión se observa esa longitud de...
Sin respuestas
Ha preguntado en el tema en

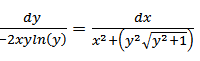
¿Cuál es la solución general de esta ecuación diferencial?

\frac{dy}{dx\:}=\frac{-2xyln\left(y\right)}{x^2+\left(y^2\sqrt{y^2+1}\right)}
Sin respuestas
Ha respondido en y en 1 temas más

Buen día, quisiera saber si me puede colaborar con la solución de este ejercicio.

Ya que es muy dispendioso copiar la respuesta acá, te envío el enlace de OneDrive: https://1drv.ms/w/s!AqwIadTbSfDmgxNaPbvTFVoev7mD
Ha respondido en y en 3 temas más

Hallar el centro de masas de la varilla.En esta unidad se desarrollarán las temáticas de Análisis de gráficas, Volumen de superf

Su respuesta me sirvió para enfocarme. La solución completa es:
Ha preguntado en el tema en y en 1 temas más

¿Cuál es el Excedente del Consumidor (E.C.) y el Excedente del Productor (E.P.) cuando el mercado está en equilibrio?

La cantidad de demanda y el precio de equilibrio en un mercado están determinados por las funciones de oferta y demanda respectivamente. Determinar el Excedente del Consumidor (E.C.) y el Excedente del Productor (E.P.) cuando el mercado está en...
Sin respuestas
Ha preguntado en el tema en y en 1 temas más

¿Cuál es el centro de masas de una varilla?

Una varilla de 4 metros tiene una densidad ρ(x)=√(x)kg/m a x metros de un extremo. Hallar el centro de masas de la varilla. Considerar el centro de masas: Ca=My/m=(∫ba▒xρ(x)dx)/(∫ba▒ρ(x)dx)
Ha preguntado en el tema en

¿Cómo se desarrolla esta integral impropia?

Evaluar la siguiente integral impropia si converge o diverge Integral desde raíz de 3 hasta infinito de 3/(x^2+9)
Ha preguntado en el tema en

¿Cuál es el volumen de producción de una empresa en 10 días?

Para una empresa manufacturera, la función que determina la oferta de su producto estrella en miles de litros, tiene un comportamiento exponencial descrito por?(?) =?^0.1?, donde t está medido en días. Según lo anterior, determinar el volumen...
Ha preguntado en el tema en

¿Cuál es la corriente de equilibrio de una bobina?

Cuál es la corriente de equilibrio de una bobina con una inductancia de 4,5 H y una resistencia de 22 W. Se conecta a una batería sin resistencia de 115 voltios.
Ha preguntado en el tema en

¿Qué tanto desciende un pistón?

El resorte del indicador de presión mostrado en la figura tiene una constante de elasticidad de 1000 N/m, y el pistón tiene un diámetro de 2,00 cm. A medida que el medidor se baja en el agua, el cambio en la profundidad hace que el pistón se mueva en...

Experiencia

Soy un luchador que cree que si se persiste en una meta algùn dìa se da la oportunidad de cumplirla. creo que uno nunca debe renunciar a sus sueños.

Trabajo

  • Innova SAS
    Gerente , 2015 - actualidad

Educación

  • Centro Cultural Colombo Americano
    Proficiencia En Inglès , 1989 - 1989
  • Servicio nacional de Aprendizaje SENA
    Tècnico En Instalaciones y Mantenimiento Elèctrico , 1991 - 1992