Jhoan Mercedez

Jhoan Mercedez

 Perú @jeanmacedo desde - visto
Preguntar

Preguntas

Pregunta en

Calcule la suma de los elementos del rango de la función:

---------------------------------------------------------------------------------------------------------------------------------------------- Aparte tengo un ejemplo que es así: (5,a^2);(4,8);(5,9);(b;3);(4,a+b) Por qué ``a`` toma el valor de -3 y...
Pregunta en

Realizar la siguiente sumatoria(sigma)

La primera según la página sale 16/3 y la segunda -7/6......................................................
Pregunta en

Hallar el perímetro del área sombreada del circulo

En la página dice que la respuesta es 24pi. Este fue mi procedimiento, por favor corriganme y díganme si es posible hacer esto. Primero halle el área de los dos círculos sabiendo que la fórmula es Pi*r^2, 16pi -- 4 pi. .El radio del circulo mayor...
Pregunta en

Determinar el ancho y largo de dicho rectángulo

El área de un rectángulo mide 80cm^2; si se aumenta el largo en 10 cm y el ancho en 12 resulta un cuadrado de 400cm^2. Determinar el ancho y largo de dicho rectángulo. Mi procedimiento b*h=80 (b+10)(h+12)=400cm^2 b*h+12b+10h+120=400...
Pregunta en

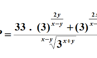
Reducir radicales y potencia hasta conseguir la respuesta.

He intentado resolver pero hasta aca me quedo. La respuesta que nos dieron es 1. Como puedo llega a simplificar esto, si se puede claro. Aparte, ¿Existe una manera más sencilla de hacer este ejercicio?
Pregunta en

Ejercicio de radicales con k , reducir

Muchas gracias por la ayuda. Tengo una duda aparte, si Entonces esto puede representarse así ?
Pregunta en

Ejercicio acerca de Monomios determinar la suma de los valores n,m y p

Los valores de?,? Y? Representan las notas que obtuvieron Pedro, Juan y Rosa respectivamente, . Determine la suma de dichas notas sabiendo que
Pregunta en

Geometría - Hallar el volumen del muro de ladrillos

Demuestren las formulas que usaron y un procedimiento de lo más entendible