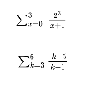
Realizar la siguiente sumatoria(sigma)

La primera según la página sale 16/3 y la segunda -7/6......................................................
1 respuesta
Respuesta
2
