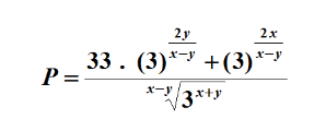
Matemáticas Jhoan Mercedez el 16 sep. 18 Ejercicio de potencia y radicales, reducir. Seguir Siguiendo Dejar de seguir 1 respuesta Respuesta de Mario Rodríguez 1 1 Mario Rodríguez :)Hola! JeanYa te hicimos un problema -casi- igual a éste... Aquí solo te queda reemplazar "33" por "3 * 11".Lógicamente ese "11" no interviene en todo lo que puedas simplificar respecto de la base "3". el 16 sep. 18 La respuesta a este procedimiento se dice que es 14, aqui esta mi procedimiento, que hice mal?. el 17 sep. 18 .Tienes una suma en el numerador dividida por otra expresión. O sea algo así:P = (a + b) / cQue se resuelve así:P = (a/c) + (b/c)Si te fijas bien, tu error está en la parte "b/c".... el 17 sep. 18 - Anónimo ahora mismo Añadir comentario Usa los comentarios si quieres aportar algo a esta respuesta. No los utilices para preguntar algo nuevo. Cancelar Enviar