Preguntas esperando respuesta
Actividad pública reciente
Ha empezado a seguir a
Ha empezado a seguir a
Ha empezado a seguir a
Ha empezado a seguir a
Ha empezado a seguir a
Ha preguntado en el tema en
Matemáticas
y en 2 temas más
¿Un máster de las matemáticas, para resolver este problema?
Sin respuestas
Ha preguntado en el tema en
Matemáticas
y en 1 temas más
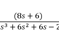
Apoyo con esta transformada de laplace

Sin respuestas
Ha preguntado en el tema en
Matemáticas
y en 1 temas más
Apoyo para resolver esta ecuación por medio de Laplace

Sin respuestas
Ha preguntado en el tema en
Cálculo
Es correcta la solucion de esta ecuacion diferencial?
Sin respuestas
Ha preguntado en el tema en
Matemáticas
y en 2 temas más
Necesito apoyo con estas ecuaciones diferenciales grado 2
Sin respuestas
Ha valorado "Excelente" la respuesta
Como obtengo solución a esta ecuación diferencial?
Ha preguntado en el tema en
Ingeniería Electrónica
y en 1 temas más
Como realizar estas operaciones de señales?
Realizar los ejercicios de combinación de señales a partir de las siguientes señales: f(x) = 5x3 + 3x + 10 g(x) = 3X + 6 Las operaciones: a) f(x) * g(x) b) f(x) - g(x) c) f(x) + g(x) d) g(x) *(f(x)+g(x)) Realiza las operaciones y transformaciones que...
Sin respuestas
Ha empezado a seguir el tema Cálculo
Ha empezado a seguir el tema Ciencias e Ingeniería
Experiencia
Telecomunicaciones.