Apoyo con esta transformada de laplace
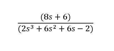
Resolver la siguiente Ecuación de forma manual y paso a paso utilizando la trasformada de Inversa de Laplace por fracciones parciales:

Resolver la siguiente Ecuación de forma manual y paso a paso utilizando la trasformada de Inversa de Laplace por fracciones parciales:
