Fernanda ramos

Fernanda ramos

responsabilidad mas esfuerzo igual a exito
 Santander de Quilichao, Colombia @fernandasomar desde - visto
Preguntar

Preguntas

Pregunta en y en 4 temas más

Determinar el peso molecular de la hemoglobina a partir de la presión osmótica

La hemoglobina es una molécula grande que transporta oxígeno en la sangre humana. Una solución que contiene 0,26 g de hemoglobina (Hb) en 10 mL de solución presenta una presión osmótica de 7,51 torr a 25 °C. Determine cuál es el peso molecular de la...
Sin respuestas
Pregunta en y en 2 temas más

Resolver el siguiente ejercicio dado para una solución?

Determine cuál es la temperatura de ebullición de una solución que se prepara adicionando 96 g de cloruro de sodio a 385 mL de agua. Tenga en cuenta que la constante ebulloscópica del agua pura es 0,52 °C · kg/mol y su temperatura de ebullición...
Sin respuestas
Pregunta en y en 4 temas más

Resolver el siguiente problema sobre presión osmótica

21. La hemoglobina es una molécula grande que transporta oxígeno en la sangre humana. Una solución que contiene 0,26 g de hemoglobina (Hb) en 10 mL de solución presenta una presión osmótica de 7,51 torr a 25 °C. ¿Determine cuál es el peso molecular...
Sin respuestas
Pregunta en y en 3 temas más

Resolver ejercicios sobre disminución temperatura de congelación

La vitamina k está relacionada con el mecanismo de coagulación de la sangre. Cuando 0,5 g de vitamina k se disuelven en 10 g de alcanfor, la temperatura de congelación disminuye en 4,4 °C. Determine cuál es el peso molecular de la vitamina k si se...
Pregunta en y en 3 temas más

Resolver el siguiente ejercicio de fisicoquímica sobre la temperatura de ebullición

Determine cuál es la temperatura de ebullición de una solución que se prepara adicionando 96 g de cloruro de sodio a 385 mL de agua. Tenga en cuenta que la constante ebulloscópica del agua pura es 0,52 °C · kg/mol y su temperatura de ebullición...
Sin respuestas
Pregunta en y en 4 temas más

Como resolver el siguiente ejercicio de la ley de raoult?

Una solución compuesta de 20 g de un soluto orgánico no volátil en 200 g de éter dietílico tiene una presión de vapor de 526.0 mmHg a 20 °C. Si la presión de vapor de éter puro es de 550.2 mmHg a la misma temperatura, ¿Calcule el peso molecular del...
Pregunta en y en 3 temas más

Como resolver ejercicios de la ley de henry?

Si 30 g de acetileno, C2H2, se disuelven en 2 litro de acetona a 2 atm de presión, ¿Determine cuál es la constante de Henry y cuál será la solubilidad?, en acetona si la presión parcial del C2H2 aumenta hasta 16 atm.
Pregunta en y en 3 temas más

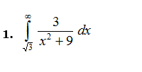
Como se resuelven ejercicios de integrales

Resolver el siguiente ejercicio de integrales impropias y determinar si convergen o divergen
Pregunta en y en 3 temas más

Como resolver ejercicios de integrales impropias

Resolver el siguiente ejercicio de integrales impropias aplicando la teoría
Pregunta en y en 3 temas más

Como se resuelven ejercicios de integrales

Resolver el siguiente ejercicio por medio de integrales en calculo integral