Pregunta en
Matemáticas
Buscar el método de soluciónmás apropiado según las ecuaciones diferenciales deorden superior:
Pregunta en
Matemáticas
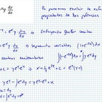
Buscar el método de solución más apropiado según las ecuaciones diferenciales de primer orden
Pregunta en
Matemáticas
Ecuaciones diferenciales de primer orden
Pregunta en
Matemáticas
Temática: introducción a las ecuaciones diferencialesIndique el orden de la ecuación diferencial
Indique el orden de la ecuación diferencial y establezca si la ecuación es lineal o no lineal, debemos justificar la respuesta
Pregunta en
Estadística y Probabilidad
Teniendo como base los siguientes elementos:
Teniendo como base los siguientes elementos: Q=Cantidad de pedidos a ordenar de materia prima para la producción de cajas de unidades de libra de Azúcar por mes es de 25000 unidades. i=Tasa de transferencia por pedido anual es de 20%. K=costo...
Sin respuestas
Pregunta en
Matemáticas
y en 1 temas más
Hallar la respuesta de un problema de programación lineal por le método canónico, estándar y phpsimplex
Pregunta en
Matemáticas
y en 1 temas más
Resolver el siguiente problema de programación lineal por la forma canónica, standar y PHPSimplex
Un sastre tiene las siguientes materias primas a su disposición: 16 m2 de algodón, 11 m2 de seda y 15m2 de lana. Un traje requiere: 2 m2 de algodón, 1m2 de seda y 1 m2 de lana. Una túnica requiere: 1m2 de algodón, 2m2 de seda y 3m2 de lana. Si el...
Sin respuestas
Pregunta en
Cálculo
Por medio de las integrales podemos hallar volúmenes de sólidos de revolución, momentos o centros de masa.
Una varilla de longitud 60 cm tiene una densidad lineal que varía proporcionalmente al cuadrado de su distancia a uno de los extremos, es decir p(x)=Rx^2 para R una constante. Si la densidad en el extremo más pesado es de 7200 g/cm, halle su masa...
Sin respuestas
Pregunta en
Matemáticas
y en 1 temas más
Desarrollar la parte práctica o de aplicaciones de las integrales como es elcaso del análisis de gráficas
Pregunta en
Matemáticas
