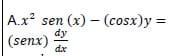
Temática: introducción a las ecuaciones diferencialesIndique el orden de la ecuación diferencial
Indique el orden de la ecuación diferencial y establezca si la ecuación es lineal o no lineal, debemos justificar la respuesta

1 respuesta
Respuesta de Valero Angel Serrano Mercadal
1