Ecuaciones diferenciales de primer orden
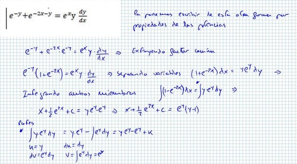
Resuelva la siguiente ecuación diferencial por el método de variables separables:
![]()
Realizar la prueba tipo test con el fin de evaluar los avances del proceso
1 respuesta
Respuesta de academia santa teresa
1

