Preguntas esperando respuesta
Actividad pública reciente
Ha valorado "Excelente" la respuesta
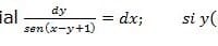
¿Puedes apoyarme con este ejercicio de ecuaciones?
· · ¡Hola Ferjuvelo! Demasiado complicada para resolver por cambio de variable y se ve que no es homogénea ni lineal, veremos si es una ecuación diferencial exacta o se puede hacer exacta con un factor integrante. Y eso es todo, sa lu dos. : :
Ha valorado "Excelente" la respuesta
¿Puedes colaborarme a resolver este ejercicio de ecuaciones?
· · ¡Hola Ferjuvelo! Ya respondí esta pregunta, te facilito el enlace: Ecuación diferencial Conste que el ejercicio está mal planteado, el valor de esa constante puede ser distinto dependiendo del modo en que se haya hecho la integral puesto que se...
Ha valorado "Excelente" la respuesta
Ejercicio de Calculo integral como lo resuelvo
· Para trabajar con el resorte es necesario conocer su constante de recuperación k, da lo mismo que lo expresemos en cualquier unidad de fuerza entre otra de longitud siempre que después usemos esas mismas medidas La fuerza que ejerce el resorte es...
Ha valorado "Excelente" la respuesta
Como resolver este Ejercicio de Integrales
· Falta información. Haría falta decir como es el objeto, aunque supongo que va a ser rectilíneo pero no lo dicen. Y en los límites no sale el número del límite superior. Revisa el enunciado y si falta algo ponlo.
Ha valorado "Excelente" la respuesta
Me explican este ejercicio de integrales
Ha empezado a seguir el tema Matemáticas
Ha valorado "Excelente" la respuesta
Me pueden apoyar con este ejercicio de integrales indefinidas
· Es la suma/resta de tres integrales inmediatas, luego la respuesta es: Y eso es todo.
Ha valorado "Buena" la respuesta
Me colaboran con este ejercicio de calculo integral.
Por el Teorema del Valor Medio del Calculo Integral Luego:


Al Resolver la ecuación diferencial dy/sen(x-y+1) =dx; si y(0)=π-1, el valor de la constante c