camilo a castellanos

camilo a castellanos

la contraseña de la vida es el esfuerzo
 700 puntos  Colombia @fabianariza desde - visto
Preguntar

Preguntas

Pregunta en y en 3 temas más

Conversor de temperaturas en matlab

Agradezco su valiosa colaboración para poder realizar el presente ejercicio en matlab o scilab Realice un programa que capture el valor de una temperatura en grados Celsius y realice la conversión a grados Fahrenheit y Kelvin.
Sin respuestas
Pregunta en y en 3 temas más

Sistema de ecuaciones en matlab

Como puedo realizar el siguiente ejercicio Tome un sistema de ecuaciones de 3x3 y arme tres vectores a partir de los coeficientes de cada ecuación, con estos vectores realice las siguientes operaciones:a+b+cc-aa*b’
Sin respuestas
Pregunta en y en 4 temas más

Aplicar el Primer Teorema Fundamental del Cálculo

Agradezco su valiosa colaboración aplicando el teorema fundamental de calculo para determinar la siguiente función.
Pregunta en y en 3 temas más

Resolver la siguiente integral indefinida

Agradezco su valiosa colaboración con los pasos para la solución de la siguiente integral indefinida.
Pregunta en y en 2 temas más

Encontrar la antiderivada general G(x) de la siguiente función:

Agradezco me puedan ayudar a a resolver la siguiente antiderivada general G(x)
Pregunta en y en 3 temas más

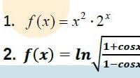
Determinar la función de las (Derivadas)

Agradezco me puedan colaborar a determinar las siguientes derivadas
Pregunta en y en 2 temas más

Determine la derivada de orden superior de la siguiente función

Agradezco me puedan colaborar determinando la derivada de orden superior de la siguiente función
Pregunta en y en 3 temas más

Determine la derivada implícita de la siguiente función

Agradezco me puedan colaborar con hallar la derivad implícita de la siguiente función
Pregunta en y en 3 temas más

Determinar las derivadas del siguiente ejercicio

Sin respuestas
Pregunta en y en 4 temas más

Hallar el desmomento de la corriente vs voltaje del circuito

Agradezco me puedan ayudar a hallar el desmomento de la corriente vs el voltaje del circuito representado.