Elena salgado

Elena salgado

 México @elenasalgado2 desde - visto
Preguntar

Preguntas

Pregunta en y en 1 temas más

De su apoyo para como resolver este problema de calculo integral.

Planteamiento: Las ventas mensuales de tienda de deportes “el sambombaso”: Donde por es tiempo en meses, y x=0 representa el 1 de enero. Grafique la función del problema.Usar integración para estimar las ventas totales durante el periodo de cuatro...
Pregunta en y en 1 temas más

Calculo de una integral,como resolver el siguiente ejercicio

1- Analice el siguiente planteamiento: Las ventas mensuales de su tienda de deportes “el sambombaso ”: Donde x es tiempo en meses, y x=0 representa el 1 de enero. 2- Grafique la función del problema. 3- Usar integración para estimar las ventas...
Sin respuestas
Pregunta en y en 1 temas más

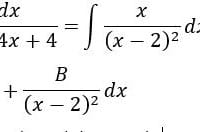
Apoyo para la integración de fracciones racionales

Resolver el siguiente ejercicio y primero tener que factorizar luego encontrar los valores de A y B y por ultimo integrar para llegar al resultado final. Esto lo que estaba adelantando para saber si estoy bien o mal.
Pregunta en y en 1 temas más

Itegrales trigonométricas, como resolver los siguientes ejercicios.

Resolver ejercicios relacionados a integrales trigonométricas en base a tablas de integrales.
Pregunta en y en 1 temas más

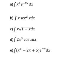
Como resolver el siguiente problema por integración por partes.

Analiza y resuelve el problema planteado que se presenta a continuación.
Sin respuestas
Pregunta en y en 1 temas más

Integración por partes, como puedo resolver los siguientes ejercicios.

Resolver los ejercicios usando la regla de integración por partes.
Pregunta en y en 3 temas más

Apoyo para resolver este problema por el método de arandelas (sólidos de revolución)

A)- Analiza con respecto a qué se integra, considerando que es alrededor del eje y; y encuentra los puntos de intersección o el par ordenado (x, y). B)- Gráfica en 3D las funciones (puede ser en Excel o Geogebra): c)- Resuelve por el método de las...
Pregunta en y en 1 temas más

Como resolver el siguiente ejercicio integral.

2- Identifica los elementos del problema. 3- Grafique las 2 funciones(puede ser en Excel o Geogebra: 4- Encuentra de forma sustentada los puntos donde se encuentran Superman y Batman y construye la integral definida. 5- Encuentre el valor del área...
Sin respuestas
Pregunta en y en 1 temas más

Como se realiza el ejercicio del valor medio de una función.

1- Encuentre el valor promedio de las siguientes funciones sobre el intervalo indicado: 2- Encuentre c, tal que de las funciones a y b del punto 2, y grafique f y el rectángulo cuya área es la misma que el área bajo la gráfica de f. Recuerda apoyarte...
Pregunta en y en 1 temas más

Como resolver este ejercicio solido de revolución

1- Construye la integral identificando puntos de corte, intervalo y su respectiva gráfica (mediante Geogebra) del siguiente ejercicio. 2- Calcula el volumen del sólido al girar la región limitada por las curvas dadas alrededor del eje especificado y...

Suscríbete RSS