Calculo de una integral,como resolver el siguiente ejercicio
1- Analice el siguiente planteamiento:
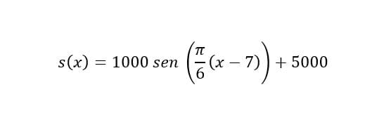
Las ventas mensuales de su tienda de deportes “el sambombaso ”:

Donde x es tiempo en meses, y x=0 representa el 1 de enero.
2- Grafique la función del problema.
3- Usar integración para estimar las ventas totales durante el periodo de cuatro meses, a partir de 1 de marzo.
4- Determinar el rango o intervalo de la función de acuerdo a los datos planteados anteriormente.
5- Desarrolle la solución del inciso anterior mediante los métodos,Itegrales, Derivadas Y TFC,
Justifique su procedimiento de solución, es decir, mencionar cuáles o que reglas y propiedades/métodos utilizo.