Elena salgado

Elena salgado

 México @elenasalgado2 desde - visto
Preguntar

Preguntas

Pregunta en y en 1 temas más

De su gran apoyo para resolver por medio Sólidos de Revolución

1. Construye la integral identificando puntos de corte, intervalo y su respectiva gráfica (mediante Geogebra) de los siguientes ejercicios. 2. Calcula el volumen del sólido al girar la región limitada por las curvas dadas alrededor del eje...
Pregunta en y en 1 temas más

Como calular la suma de Riemann

Calcular el siguiente problema por aproximación el método de suma de Riemann Cordiales saludos.
Sin respuestas
Pregunta en y en 1 temas más

Como resolver el siguiente problema de integral

Identifica los elementos del problema.Encontrar F como una función de x de.Desarrolle la solución por el método de la suma de Riemann.Compruebe su respuesta anterior por medio del teorema fundamental. Justifique su procedimiento de solución, es...
Sin respuestas
Pregunta en y en 2 temas más

Apoyo para resolver problemas que presenten argumentos sobre integrales.

Identifica los elementos de los 2 problemas.Encontrar F como una función de x de los 2 problemas.Desarrolle la solución del inciso b por el método de la suma de Riemann.Compruebe su respuesta anterior por medio del teorema fundamental. Justifique su...
Sin respuestas
Pregunta en y en 2 temas más

Apoyo para realizar el TFC

Resolver cada uno de los siguientes ejercicios, realizando un análisis y procedimiento para cada uno de ellos (sustento matemático visto en el curso) e identificando primero con qué parte del TFC se a resolver (1 o 2 y en qué consiste). Cada...
Pregunta en y en 3 temas más

Alguien me puede orientar con las siguientes integrales definidas e indefinidas

Resuelve los siguientes ejercicios integrales usando sustitución.
Pregunta en y en 4 temas más

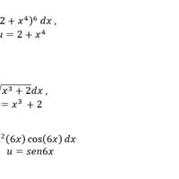
Alguien de apoyo para explicar sobre las integrales definidas e indefinidas de estos ejercicios.

En los siguientes ejercicios Calcula las siguientes integrales indefinidas y verificar su resultado por derivación, realizando un análisis y procedimiento para cada uno de ellos
Pregunta en y en 2 temas más

Apoyo para realizar el Teorema Fundamental del Calculo

Alguien me puede orientar con este ejercicio del teorema fundamental del calculo Resuelve cada uno de los siguientes ejercicios, realizando un análisis y procedimiento para cada uno de ellos (sustento matemático visto en el curso) e identificando...

Suscríbete RSS