Como se realiza el ejercicio del valor medio de una función.
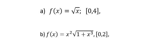
1- Encuentre el valor promedio de las siguientes funciones sobre el intervalo indicado:
2- Encuentre c, tal que de las funciones a y b del punto 2, y grafique f y el rectángulo cuya área es la misma que el área bajo la gráfica de f. Recuerda apoyarte de Geogebra para graficar.

1 respuesta
Respuesta
1

