Mitsuki  .....

Mitsuki .....

Lo unico imposible es aquello que no intentas =D
 Colombia @dayanacaballero desde - visto
Preguntar

Preguntas

Pregunta en y en 3 temas más

Hallar el numero de oxidación de B en el ión borato BO3

Amigos de todoexpertos les pido su colaboración en la solución de este ejercicio.
Pregunta en y en 3 temas más

Quien sabe hallar el numero de oxidación del Cr

Amigos de todoexpertos les pido su colaboración en la solución de este ejercicio si se puede para hoy.
Pregunta en y en 4 temas más

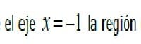
Hallar el volumen del sólido generado al rotar sobre un eje

Amigos de todoexpertos les pido su colaboración en la solución de este ejercicio.
Sin respuestas
Pregunta en y en 4 temas más

Hallar la longitud de una curva

Amigos de todoexpertos le pido su colaboración en la solución de este ejercicio lo más ante posible.
Pregunta en y en 3 temas más

Quien puede hallar el volumen de un solido

Amigos de todo expertos les pido su colaboración en la solución de este problema
Pregunta en y en 3 temas más

Quien puede hallar el área y graficar Calculo integral

Amigos de todoexpertos les pido en la colaboración de la solución y gráfica del ejercicio.
Pregunta en y en 4 temas más

Quien puede resolver ejercicios de fuerza constante y una fuerza variable

Amigos de todoexpertos les pido su colaboración en la solución de este ejercicio.
Pregunta en y en 4 temas más

Quien resuelve problemas Energía cinética y el teorema del trabajo y la energía.

Un vagón de rueda a lo largo de una vía recta con fricción despreciable. El vagón se lleva al reposo mediante una combinación de dos resortes de espiral, como se ilustra en la figura. Ambos resorte se describen mediante la Ley de Hooke con constantes...
Pregunta en y en 3 temas más

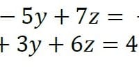
Quien resuelve ejercicios de ecuaciones integrales con el método de Gauss-Jordan

Use el método Gauss-Jordan para resolver cada uno de los siguientes sistemas de ecuaciones lineales. Comprobar los resultados obtenidos de forma manual a través del programa Geogebra.
Sin respuestas
Pregunta en y en 3 temas más

Quien resuelve ejercicios sobre potencia de física

A continuación se plantean dos situaciones, con el fin de que se determine la potencia que requiere un móvil, bajo ciertas circunstancias. (a) Un móvil de 1350 kg asciende una colina de 9.80º a una velocidad constante de 75 km/h y (b) el mismo...