Quien resuelve ejercicios de ecuaciones integrales con el método de Gauss-Jordan
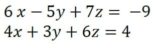
Use el método Gauss-Jordan para resolver cada uno de los siguientes sistemas de ecuaciones lineales.

Use el método Gauss-Jordan para resolver cada uno de los siguientes sistemas de ecuaciones lineales.
