Mitsuki  .....

Mitsuki .....

Lo unico imposible es aquello que no intentas =D
 Colombia @dayanacaballero desde - visto
Preguntar

Preguntas

Pregunta en y en 3 temas más

Quien resuelve problemas de Energía cinética y el teorema del trabajo y la energía.

Un martillo de acero con masa de 205 kg se levanta 2.50 m sobre el tope de una viga en forma de I vertical, que se está clavando en el suelo. El martillo se suelta, metiendo la viga -I- otros 3.20 cm en el suelo. Los rieles verticales que guían el...
Pregunta en y en 4 temas más

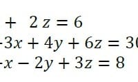
Quien sabe resolver ejercicio con el método Gaouss-Jordan

Use el método Gauss-Jordan para resolver cada uno de los siguientes sistemas de ecuaciones lineales. Amigos de todoexpertos les pido su colaboarción en la solución de este problema.
Pregunta en y en 2 temas más

Quien puede resolver ejercicios de integrales enunciando claramente la técnica o propiedad usada.

Amigos de todoexpertos les pido su colaboarción en la solución de este problema.
Pregunta en y en 3 temas más

Quien puede resolver problemas de fuerza constante y una fuerza variable

Considere un cuarto de bodega rectangular, de 7.50 m de largo por 6.50 m de ancho. Los vértices se rotulan como se muestra en la figura. Un trabajador empuja por el piso una caja de mercancía pequeña pero pesada (20.0 kg). El coeficiente de...
Pregunta en y en 2 temas más

Quien puede rolver integrales enunciando claramente la técnica o propiedad usada

Resolver las siguientes integrales enunciando claramente la técnica o propiedad usada. Amigos de todoexpertos les pido su colaboración en la solución de este problemas.
Pregunta en y en 3 temas más

Quien puede resolver ejercicios sobre integrales convergentes o divergentes

Evaluar las siguientes integrales impropias si convergen o divergen: Amigos de todoexpertos les pido su colaboración en la solución de este problema, de igual forma especificar si el ejercicio es convergente o divergente.
Pregunta en y en 3 temas más

Quien puede hacer un ensayo de comercio internacional

Realice un ensayo de forma individual de máximo 3 páginas sobre el mercadeo internacional y los retos a los que se enfrenta un exportador Colombiano al tratar de conquistar un nuevo mercado.
Sin respuestas
Pregunta en y en 3 temas más

Quien resuelve problemas sobre fuerza constante y una fuerza variable

Amigos de todoexpertos les pido su colaboración en la solución de este problemas.
Pregunta en y en 3 temas más

En una escuela se desea lleva a cabo un torneo deportivo que abarca tres especialidades:

Resuelve el siguiente problema por el método Gauss Jordán. En una escuela se desea lleva a cabo un torneo deportivo que abarca tres especialidades: Foot-ball, volleyball y basketball. Se cuenta con 155 alumnos, de los cuales 90 serán titulares y los...
Sin respuestas
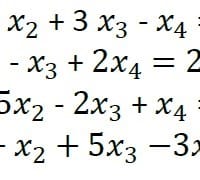
Pregunta en y en 4 temas más

Quien usa el método Gauss-Jordan para la siguiente ecuación lineal

Use el método Gauss-Jordan para resolver cada uno de los siguientes sistemas de ecuaciones lineales. Amigos de todoexpertos les pido su colaboración en la solución de este problema