Dario Costes

Dario Costes

Me gusta la ciencia más que las mujeres
 Argentina @dariocostes desde - visto
Preguntar

Preguntas

Pregunta en y en 4 temas más

Duda sobre ejercicio de tiro oblicuo

¿Cómo están? ¿Disculpen me podrían ayudar con este ejercicio? No puedo encararlo, desde ya se los agradeceré: Un proyectil es lanzado desde una altura de 10 mts y cae a 30 mts medido horizontalmente. La velocidad inicial vertical es 11.4m/s hacia...
Pregunta en y en 2 temas más

Complete las siguientes reacciones.realice el balance correspondiente

¿Disculpen me podrían ayudar con estos ejercicio? 1)Complete las siguientes reacciones. Realice el balance correspondiente, y nombre el/los compuesto/s reaultantes: A)Fe_2_0_3+h_20-----> B)So_2+H_2_0-----> 2)considere la siguiente reacción :...
Sin respuestas
Pregunta en y en 2 temas más

Tres partículas estA N conectadas por medio de barras rígidas de masa despreciable, a lo largo del eje y

¿Cómo están podrían ayudarme con este ejercicio de momento de inercia? Tres partipartículas estA n conectadas por medio de barras rígidas de masa despreciable, a lo largo del eje y, en las posiciones 3m,-2m, y-4m. Las masas son 4 kg, 2 kg y 3 kg,...
Pregunta en y en 3 temas más

Problema de cinemática y movimiento circular

¿Cómo están? ¿Me podrían ayudar con estos 2 ejercicios de física? 1)Un balón de fútbol es lanzado verticalmente y por la acción del viento cae a 5 metros del lanzamiento, la altura que alcanza el balón es de 8 metros, calcular la aceleración(supuesta...
Pregunta en y en 3 temas más

Dibujar la región de integración R

¿Hola me pdrian ayudar con este ejercicio
Sin respuestas
Pregunta en y en 4 temas más

Calcular el área de la región común a:

¿Hola disculpen me podrían ayudar con este ejercicio?
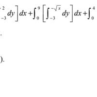
Pregunta en y en 4 temas más

Dada la integral, dibujar la región de integración

¿Hola cómo están? ¿Disculpen me podrían ayudar con este ejercicio?
Sin respuestas
Pregunta en y en 4 temas más

Calcular la región limitada por:

¿Hola cómo están? ¿Disculpen me podrían ayudar con este ejercicio?
Pregunta en y en 4 temas más

Hallar la expresión cartesiana de t

¿Cómo están? ¿Disculpen me podrían ayudar con este ejercicio? Es de un parcial y necesito poder resolverlo bien, se los agradeceré mucho! [t]B=[2 0 1 0 0 1 0 2 1 0 2 0] con base B={(1 1 0 0);(0 1 1 0),(0 0 1 1);(1 0 0 -1)} a) hallar [t]c b)hallar la...
Sin respuestas
Pregunta en y en 3 temas más

8. Un móvil describe un MÁS de amplitud A. (a) ¿Qué distancia recorre en un intervalo de tiempo igual a dos períodos? (b) ¿En

8 . Un móvil describe un MÁS de amplitud A. (a) ¿Qué distancia recorre en un intervalo de tiempo ¿Igual a dos períodos? (b) ¿E N qué momento del recorrido su energía cinética es igual a la mitad de su ¿Energía potencial?...
Sin respuestas