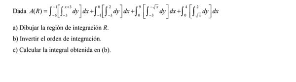
MatemáticasCálculoIngeniería IndustrialCiencias e Ingeniería Dario Costes el 7 nov. 18 Dibujar la región de integración R ¿Hola me pdrian ayudar con este ejercicio Seguir Siguiendo Dejar de seguir