Respuesta
en
Matemáticas
y en 2 temas más
a
Calcula altura por medio de la caída libre hipótesis al problema de medir un edificio sin necesidad de utilizar un instrumento
¿Sin instrumentos? ¿Y qué es entonces un cronómetro?
Respuesta
en
Ingenieria Mecánica
y en 4 temas más
a
¿Como resolver este problema de mecánica? 6
Respuesta
en
Ingenieria Mecánica
y en 4 temas más
a
¿Como resolver este problema de mecánica? 16
Respuesta
en
Matemáticas
a
Porque El Numero 32 * 10 a la 8 no esta escrito en notación científica
Para estar escrito en notación científica hay que escribirlo con una sola cifra entera, así: 3,2 • 10^9 Es mayor 10^(-4): 10^(-4) > 10^(-5)
Respuesta
en
Física
y en 1 temas más
a
¿La aguja se la brújula se mueve en forma paralela, o en forma perpendicular a las líneas del campo magnético?
Respuesta
en
Matemáticas
a
¿Cómo calculo el volumen de un anillo?
No sólo está bien que haya ratificaciones; también está bien que haya rectificaciones. El radio interior no es 1,05 m sino 0,95 m. El resultado es el que da Santiago Laynes: 4,09 m^3
Respuesta
en
Matemáticas
a
El triangulo ABC es Rectangulo en B y el triangulo CDE es rectangulo en D.calcula la longitud del lado AB.
Respuesta
en
Matemáticas
a
Calcular el volumen en kg , gr , mg con las siguientes medidas: ancho 70 cms x alto 50 cms x profundidad 20 cms.
Como ya te ha dicho Valero, el volumen se mide en unidades de volumen (en el Sistema internacional de unidades, en metros cúbicos). La unidad kg es unidad de masa. Por cierto, el símbolo de gramo es g, no gr. Para calcular el volumen de un cuerpo es...
Respuesta
en
Matemáticas
a
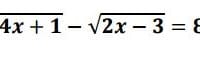
Resuelva la siguiente ecuación con radicales y compruebe su solución:
Respuesta
en
Química
y en 3 temas más
a
Problema de Diluciones, concentraciones normal y molar.
Disolución inicial: 100 mL de disolución que contienen 2,9 g de Mg(OH)2. El número de equivalentes, teniendo en cuenta que la masa de 1 equivalente es 58/2 = 29 g, viene dado por nº equiv = 2,9 g / (29 g/equiv) = 0,1 equivalentes de Mg(OH)2 La...
