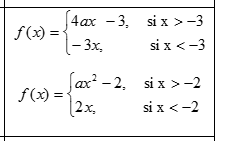
Los ejercicios asignados para el desarrollo Función a Trozos Geogebra.Función a Trozos Geogebra.
Desarrollo los ejercicios asignados para el desarrollo Función a Trozos Geogebra.

Desarrollo los ejercicios asignados para el desarrollo Función a Trozos Geogebra.
