Ciencias empresariales

1.204 seguidores
Preguntar

Preguntas resueltas

Pregunta en y en 2 temas más de

¿Cómo he de contabilizar ingreso de ICEX?

Nos hemos adherido al programa de ICEX Next en 2015, que ayuda a internacionalizar la empresa. Se trata de un programa que ayuda cofinanciando la mitad de los gastos para llevar a cabo un proyecto internacional, con un máximo de 12.400 €. El programa...
Pregunta en y en 2 temas más de

Costo marginal (en dolares) de una compañía que fabrica zapatos esta dado por

1. Costo marginal (en dolares) de una compañía que fabrica zapatos esta dado por c'(x) =x/100 √x^2 + 2500 En donde por es el numero de pares de zapatos producidos .si los costos fijos son de $100 determine la función de costo (integrales) 2. Evalue...
Pregunta en y en 2 temas más de

Hallar costo marginal de un articulo calculo integral

Con este punto termina mi taller espero me ayuden y gracias por todo el empeño en su orientación
Pregunta en y en 4 temas más de

Una empresa de embutidos, tiene la siguiente función de Utilidad marginal, debido a sus Ventas:

U*(x) = 550 – 30x Determina la función por la que está dada la Utilidad total de la empresa, Integrando la función de la Utilidad marginal.
Pregunta en y en 3 temas más de

Como realizar Funciones a partir de marginales

Algún Profesor que me pueda ayudar! Por favor no le entiendo =(
Pregunta en y en 4 temas más de

Valor marginal de un producto

Necesito ayuda con ésta integral por partes y un análisis marginal
Pregunta en y en 2 temas más de

Resolver la siguiente integral indefinida

La estoy resolviendo pero hay cosas que no entiendo espero si pueden paso a paso
Pregunta en y en 2 temas más de

Integrales indefinidas resolver paso apaso

Buenas tardes si pueden resolver la integral y derivar para llegar la función original
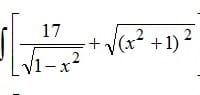
Pregunta en y en 2 temas más de

Realizar la siguiente integral indefinida

Por favor si pueden resolver paso a paso necesito comparar los resultados que yo tengo haber si estoy bien
Pregunta en y en 2 temas más de

Integrales indefinidas resolver calculo integral

Resolver por favor si pueden derivar para comprobar la respuesta

Suscríbete RSS