¿Cómo demuestro que si f es g-integrable en I=[a,b]...?

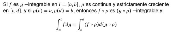
Demostrar que si f es g-integrable en I=[a,b] rho es continua y esctrictamente creciente en [c.d] y si rho(c)=a rho(d)=b entonces ( f o rho) es (g o rho)-integrable y se cumple la integral:

Demostrar que si f es g-integrable en I=[a,b] rho es continua y esctrictamente creciente en [c.d] y si rho(c)=a rho(d)=b entonces ( f o rho) es (g o rho)-integrable y se cumple la integral: