3D Studio Max

539 seguidores
Preguntar

Preguntas resueltas

Pregunta en de

Visualizar perspectiva en viewport

He instalado 3d studio max 10 y no me funciona el atajo de teclado perspective (P), aunque no estoy segura de si no funciona o es otra cosa. El caso es que si me cambia el nombre del viewport, pero la vista no. Además aunque tengo marcada la opción...

Cómo convertir materiales desde el motor render v-ray a NVIDIA-iray?

Ya tengo instalada la version 3ds Max 2016 para realizar renderizado eficiente por GPU (cuento con una placa de video NVIDIA QUADRO K620). El problema aparece cuando ejecuto el renderizado (usando motor NVIDIA Iray) sobre archivos que fueron creados...

Cómo debe estar configurado el render de 3ds max 2015 para la GPU funcione a pleno?

Cuento con una placa de video nvidia quadro k620. El problema es que su GPU correspondiente no se activa cuando realizo renderizado sobre la versión 2015 de 3ds max. Solo funciona a pleno la CPU de la pc. ¿Qué motor de renderizado sería el optimo...
Pregunta en y en 2 temas más de

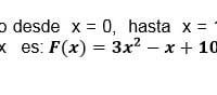
Un objeto se empuja en el plano desde x=0 hasta x=10

Este es el ultimo punto de esta parte de mi taller espero su ayuda para exponerlo en clase si pueden ayudare con una gráfica que describa el problema
Pregunta en de

Convertir ha solido autocad

Sr López: Trabajo en el diseño de un remolcador en 3d, sin embargo parte de sus componentes requieren convertir elementos de la quilla en sólidos 3d, he intentado de todo: convasolido, región, barrido, sin resultado. Me gustaría enviarle el elemento...
Pregunta en y en 4 temas más de

Consulta sobre iluminación para estudio pequeño

Tengo que hacer un video tutorial enseñando a tocar un instrumento, para lo cual, apareceré yo, instrumento en mano, enseñando su ejecución. Comencé a trabajar en eso hace un mes, de día y no tenía ningún problema con la luz pero debido a problemas...
Pregunta en y en 1 temas más de

Cómo conseguir material para pinncle studio 15

Llevo varios días buscando por Google plugins, plantillas, títulos y cualquier otro material. Tanto de pinacle como de photoshop para realizar un montaje desde que nació una persona hasta su comunión. Me haría un gran favor si dijeseis como con...
Pregunta en y en 1 temas más de

Qué parámetros hay que modificar para renderizar por GPU en Iray con 3DMax 2014?

Acabo de instalar una tarjeta MSI GTX 980TI gaming 6G en mi ordenador para poder renderizar con Iray en 3DMax 2014, y me encuentro que tanto si la activo como si no, no se nota ninguna diferencia en tiempos de renderizado. ¿Es posible que instalando...

En 3dmax con Iray, ¿Sabéis si se pueden tener más de 24 materiales en el "material editor"?

Quisiera saber si en 3dmax 2016, usando iray, se pueden crear más de 24 materiales en el "material editor".
Pregunta en y en 3 temas más de

Acabo de instalar 3ds max en mi alienware 15 y los iconos y letras salen muy pequeños. ¿Qué hago?

Ahora instale 3ds max en mi computadora (alienware 15, core i7, gpu nvidia gforce 4gb, 16 ram, pantalla 4k touch display) pero los iconos, botones, letras, todo sale demasiado pequeño. Yo se que la letra de 3ds max ya es pequeña, pero como pueden ver...

Mejores expertos total

Suscríbete RSS