Se encuestó a un total de 160 familias con 4 niños cada una con los siguientes resultados
Se encuestó a un total de 160 familias con 4 niños cada una con los siguientes resultados

si la probabilidad de escoger a un nino o una nina es de 1/2 o 0.5 y si
P=nino
Q=nina
Cual es la probabilidad de que:
a) Todos sean ninos
b)Que sean 3 ninos y una nina
c)Dos ninos y dos niñas
d) Un nino ytres ninas
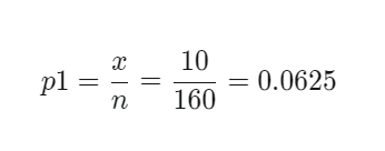
Lo que podido hacer yo es esto:
Hay 160 familias, si multiplico las familias individuales por la cantidad de ninos que tiene cada uno me da un total de ninos de 320
Si hago lo mismo pero con las niñas obtengo un total de 310 niñas.
Entonces me dicen también que la probabilidad de escoger a un nino o una nina es de 1/2 o 0.5 entonces ahí tengo respondida ela primera pregunta y la ultima pues todos ninos p=0.5
todos ninas p=0.5
Ahora, ¿dónde quiero su ayuda? Pues aquí!
Conozco que la fórmula par combinaciones es
![]()
Ahora, pregunto, puedo usar esta fórmula para hallar la probabilidad de escoger tres ninos y dos niñas
Si puedo, que seria n
Que seria r



