Tengo una duda ¿Podrían decirme si resolví bien mi ejercicio?
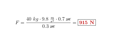
Calcula la fuerza que tienes que hacer para mover un peso P con una palanca de primer grado, sabiendo que la distancia del peso al punto de apoyo es de 70 cm, la distancia de la fuerza al punto de apoyo es 30 cm y que el peso a mover se corresponde con una masa de 40 kg.
Respuesta:

1 respuesta
Respuesta de albert buscapolos Ing°
1