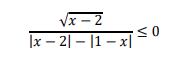
Resolver ejercicio de inecuaciones con valor absoluto

¿Alguien puede explicarme como resolverlo utilizando puntos críticos?

1 respuesta

Respuesta
1

Separa los intervalos (supongo que a eso te refieres con puntos críticos).

Observaciones:

1. Esto solo está definido para x>=2, ya que sino te queda una raíz negativa

2. Respetando el punto anterior, el numerador siempre será positivo (o cero)

3. Veamos el signo del denominador (y cuando se anula).

$$\begin{align}&|x-2| - |1-x|\\&\text{Ya aclaramos antes que x }\ge2, \text{ por lo tanto podemos sacar el primer valor absoluto}\\&x-2 - |1-x|\\&\text{Además por la misma razón, podemos sacar el segundo valor absoluto, siempre y cuando }\\&\text{invirtamos los signos}\\&x-2 -(-1+x) = x - 2 + 1 - x=-1\\&\end{align}$$

O sea que el denominador es constante e igual a -1

Como el numerador era positivo y el denominador siempre -1, entonces siempre será negativo (en realidad siempre que está definido), o sea

$$\begin{align}&x \in [2, +\infty)\end{align}$$

Añade tu respuesta

Haz clic para o

Más respuestas relacionadas