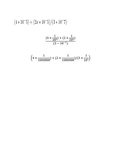
Tengo dudas sobre cual es la expresión equivalente a esta operación
Profe necesito que me ayude a ver que anda mal aquí
He desarrolLado la operación de esta manera. Solo necesito ahora que me confirme si esta bien planteado el desaroolo hasta ahí. Par aentonces continuar por que creo que el resultado que me da no lo relaciono con ninguna de las posiblesrespuestas ofrecidas
gracias

2 respuestas
Respuesta de Dante Amor
3
Respuesta de albert buscapolos Ing°
1

